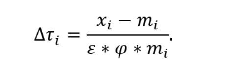
«Si consideri un ambiente in cui gli Stati Uniti impongono una tariffa di aliquota τ_i sul paese i e ∆τ_i riflette la variazione della tariffa. Sia ε<0 l'elasticità delle importazioni rispetto ai prezzi delle importazioni, sia φ>0 il passaggio dalle tariffe ai prezzi delle importazioni, sia m_i>0 le importazioni totali dal paese i e sia x_i>0 le esportazioni totali. Quindi la diminuzione delle importazioni dovuta a una variazione delle tariffe è uguale a ∆τ_i*ε*φ*m_i<0».
Parte così la spiegazione dal parte dell'Ufficio del Rappresentante per il Commercio degli Stati Uniti d’America (United States Trade Representative, abbreviato in USTR) - che altri non è che l’ufficio esecutivo del Presidente degli Stati Uniti d’America che si occupa principalmente di consigliare e agire per conto del Presidente sulle questioni di commercio internazionale - della formula matematica utilizzata per calcole i dazi reciprochi.
Peccato che quasi tutti gli economisti - sia di area liberal che conservatori - contestano e definiscono «bizzarro» e «senza senso» il calcolo utilizzato da Trump.
La formula matematica utilizzata da Trump
Ma andiamo avanti con la spiegazione dell'USTR. «Supponendo che il tasso di cambio di compensazione e gli effetti di equilibrio generale siano sufficientemente piccoli da essere ignorati, la tariffa reciproca che determina una bilancia commerciale bilaterale pari a zero» soddisfa la formula qui sotto riportata:
E ancora: «Per calcolare le tariffe reciproche» si utilizzano «i dati di importazione ed esportazione dell'US Census Bureau per il 2024. Sono stati selezionati i valori dei parametri per ε e φ. L'elasticità del prezzo della domanda di importazione, ε, è stata impostata a 4. Prove recenti suggeriscono che l'elasticità è vicina a 2 nel lungo periodo (Boehm et al., 2023), ma le stime dell'elasticità variano. Per essere prudenti, sono stati presi in considerazione studi che riscontrano elasticità più elevate vicine a 3-4 (ad esempio, Broda e Weinstein 2006; Simonovska e Waugh 2014; Soderbery 2018). L'elasticità dei prezzi all'importazione rispetto alle tariffe, φ, è 0,25. La recente esperienza con le tariffe statunitensi sulla Cina ha dimostrato che il passaggio delle tariffe ai prezzi al dettaglio è stato basso». E via discorrendo.
Perché è sbagliata
I calcoli che hanno prodotto le percentuali nascono - in sostanza - dal rapporto tra il deficit commerciale degli Stati Uniti nei confronti di un Paese e quanto importato dallo stesso Paese. Per esempio, il 67% della Cina deriva dai 291,9 miliardi di dollari di deficit commerciale diviso per 433,8 miliardi di dollari di importazioni. Il risultato è 0,67. Ovvero il 67% secondo il calcolo di Trump. Stessa cosa per l’Europa: 39%, ovvero 235,6 miliardi nel 2024 di deficit commerciale, 605,8 miliardi di importazioni. Il rapporto è del 39%. Il calcolo delle tariffe reciproche, quindi ad esempio il 20% sull’Europa deriva dalla divisione per due di queste percentuali: Trump ha detto che avrebbe dimezzato perché vuole essere «gentile».
Partiamo dall’Europa: come si vede dal calcolo questo 39% non rappresenta come ha detto Trump «le tariffe che l’Unione europea impone sugli Stati Uniti». Infatti i dati della Commissione europea mostrano come i beni americani che entrano in Ue sono tassati in media dell’1%. Inoltre nel 2023 gli Usa hanno raccolto 7 miliardi di dollari dalle tariffe sui prodotti europei, contro i 3 miliardi raccolti dall’Unione su quelli americani. I dati dell’Organizzazione mondiale del commercio invece sostengono che l’Europa impone in media dazi del 4,8% sui prodotti statunitensi. Dati che anche in questo caso smentiscono i calcoli di Trump.
Sul Canada invece Trump ha parlato di dazi del 250-300% sui prodotti caseari: tuttavia queste tariffe sono applicate solo se la quantità di prodotti americani supera una quota stabilita dai due Paesi. Se resta sotto questo numero non sono imposti dazi e da quando è stato firmato l’accordo – voluto da Trump nel 2020 – la quantità non è mai stata superata, quindi non è stato imposto alcun dazio. In tutto questo ci sono anche altre stranezze. Ad esempio la decisione di imporre dazi del 10% su Heard Island e McDonald Islands, due isole al largo dell’Australia dove gli unici abitanti sono delle colonie di pinguini. Ma nessun uomo.
Nessun commento:
Posta un commento